[Physical Review Letters] Topological Photonic Alloy
Recently, a research team led by Professor Chen Jun and Professor Zhang Lei from Shanxi University, in collaboration with Professor Chen Ziting from the Hong Kong University of Science and Technology, theoretically proposed and experimentally demonstrated a novel disordered topological photonic system—the topological photonic alloy.This system is realized by randomly mixing non-magnetized and magnetized rods within an aperiodic two-dimensional photonic crystal structure. Both theoretical and experimental results confirm that even at low concentrations of magnetized rods, the photonic alloy can generate topologically protected chiral edge states. This work provides a new platform for in-depth exploration of the topological properties of disordered systems and offers a novel approach for more efficient fabrication of topological photonic devices.
The related findings, titled "Topological Photonic Alloy," were published in the prestigious physics journal Physical Review Letters. The paper was highlighted as an "Editors' Suggestion" and "Featured in Physics" on the journal’s website. Additionally, Physicsmagazine invited Martin Rodriguez-Vega, an associate editor of Physical Review Letters, to feature this work in a special highlight titled "Recipe for a One-Way Waveguide."
Research Highlights
The research team has theoretically proposed and experimentally realized for the first time a novel disordered topological photonic system—the topological photonic alloy. This study demonstrates that a nontrivial topological phase can emerge in a disordered 2D photonic crystal composed of randomly distributed non-magnetized (A) and magnetized (B) yttrium iron garnet (YIG) rods, thereby introducing the concept of an "alloy" into the field of topological photonics (Fig. 1).

Fig. 1: Schematic Diagram of the Topological Photonic Alloy
The research team primarily investigated substitutional topological photonic alloys A1-xBx , The doping concentration x is defined as
, where NA and NB represent the numbers of non-magnetized and magnetized YIG rods, respectively. When
, the system is a pure non-magnetic photonic crystal with topologically trivial photonic bands. When
, the system becomes a pure fully magnetic photonic crystal possessing a nontrivial topological band gap. In these photonic alloys, the existence of topologically protected chiral edge states was observed even at very low doping concentrations (Fig. 2). The team characterized the topological features of the system using accumulated reflection phase changes, and experimentally confirmed the presence of chiral edge states through nonreciprocal transmission measurements and edge state distribution analysis (Fig. 3). Furthermore, by numerically calculating how the topological transition threshold varies with sample size, the researchers theoretically demonstrated the important result that as the system size approaches infinity, the topological transition threshold concentration approaches zero (Fig. 4).

Fig. 2. (a) Schematic of a substitutional topological photonic alloy. (b)-(c) Band structures of Type-A/B photonic crystals, respectively. Insets show the unit cell geometry. (d) Simulated electric field distribution at 11.15 GHz for the photonic alloy
(left) and with Type-rods replaced by air
(right). Positions of Type-A rods are marked by white circles/squares. Black circles indicate Type-B rods. Excitation source denoted by blue star.

Fig. 3. (a) Photograph of the experimental sample of the substitutional photonic alloy (top metal plate removed). Two antennas marked with red stars are placed along the top and left edges. (b) Numerically simulated transmission spectra as a function of x. Red circles indicate the topological gap calculated from the winding number of reflection phase. Green diamonds represent the experimentally measured nonreciprocal transmission gap. (c) Density of states for the photonic alloy (x=0.5). (d)-(f) Experimentally measured edge transmission (solid lines with blue/red dots, left axis) and simulated bulk transmission (solid lines with black dots, right axis) for x=0, 0.5, and 1, respectively. (g)-(i) Measured field distributions along the sample edges at 11.20 GHz for x=0, 0.5, and 1, respectively. The first/second red vertical dashed lines at positions #10/20 indicate the source location and the position of the lower-left corner of the photonic alloy as shown in the inset of (g).

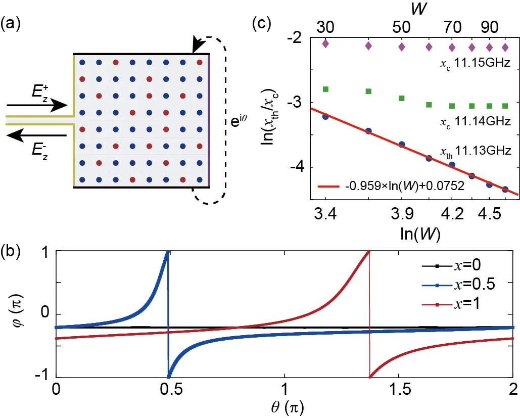
Fig. 4. (a) Schematic illustrating the characterization of topological properties in substitutional photonic alloys via reflection phase. Twisted boundary conditions
are applied along the vertical direction. The left side connects to an air waveguide bounded by a perfect magnetic conductor (yellow), while the right boundary (purple) is an absorbing boundary. (b) Reflection phase as a function of twist angle θ at 11.20 GHz for substitutional photonic alloy systems with x=0, 0.5, and 1. (c) Topological transition threshold concentration xth and critical concentration xc as functions of sample size.
This work theoretically proposes and experimentally validates a topological photonic alloy system composed of randomly mixed non-magnetized and magnetized YIG rods. Notably, the system exhibits a vanishingly small topological transition threshold concentration—where topological behavior emerges—as the system size increases. Furthermore, the underlying physical mechanism of local inversion symmetry breaking driving topological phase transitions can be extended to other classical wave systems, such as acoustic platforms.
