[Physical Review Letters] 拓扑光子合金
近日,山西大学陈君教授、张磊教授联合香港科技大学陈子亭教授课题组理论提出并实验证实了一种新型的无序拓扑光子系统——拓扑光子合金。该系统通过在非周期性二维光子晶体构型中随机混合非磁化柱和磁化柱实现。理论和实验结果表明,即使在磁化柱浓度很低的情况下,光子合金也能产生具有拓扑保护的手性边缘态。此工作为深入研究无序系统的拓扑性质提供了一个新的平台,为更有效的制造拓扑光子系统提供了新方法。相关成果以“Topological photonic alloy”为题发表于物理学领域顶级期刊《Physical Review Letters》。论文同时作为Editors’ Suggestion和Featured in Physics在Physical Review Letters网站重点推荐。Physics杂志邀请Physical Review Letters 副主编Martin Rodriguez-Vega以《Recipe for a One-Way Waveguide》为题对以上工作进行了专题亮点报道。
研究亮点
研究团队首次理论提出并实验实现了一种新型的无序拓扑光子系统——拓扑光子合金。该研究证明在由非磁化(A)和磁化(B)钇铁石榴石(YIG)棒随机组成的无序二维光子晶体中,可以产生非平庸的拓扑相,从而将合金的概念引入拓扑光子学领域(图1)。

图1 拓扑光子合金示意图
研究团队主要探索了替换型的拓扑光子合金
,掺杂浓度x定义为
是非磁化和磁化的YIG柱的数目。当x=0时,该系统为纯净的无磁性光子晶体,光子能带是拓扑平庸的。而当x=1时,该系统为纯净的全磁性光子晶体,具有非平庸拓扑带隙。在这些光子合金中,即使掺杂浓度非常低,也发现了具有拓扑保护的手性边缘态的存在(图2)。研究团队利用反射相位累计变化表征了系统的拓扑特征,通过非互易传输和边缘态分布实验证实了手性边缘态的存在(图3)。此外,研究者通过数值计算拓扑转变阈值随着样本尺寸的变化,理论证明了当系统趋于无穷大时,拓扑转变阈值浓度趋近于零的重要结果(图4)。

图2 (a)替换型光子合金的示意图。(b)-(c)分别为A/B型光子晶体的能带结构。插图为晶格元胞的几何形状。(d)11.15GHz 时光子合金
(左图)和型柱被空气取代后的模拟电场分布
(右图)。A型柱的位置用白色圆圈和方块标记。黑色圆圈表示B型柱。线源用蓝星表示。

图3 (a)替代型光子合金实验样品的照片(去除顶部金属板)。上侧和左侧边缘放置了两个标有红星的天线。(b)数值模拟透射谱与x的关系。红色圆圈表示由反射相位绕数计算出的拓扑间隙。绿色菱形表示实验测量的非互易透射间隙。(c)光子合金(x=0.5)的态密度。(d)-(f)当x=0, 0.5, 1时,实验测量的边缘透射率(带蓝点和红点的实线,左轴)和模拟体透射率(带黑点的实线,右轴)。(g)-(i)分别在11.20GHz下测量了x=0, 0.5, 1样品边缘的场分布。位置#10/20的第一条/第二条红色垂直虚线表示光源的位置和(g)插图中所示的光子合金的左下角的位置。

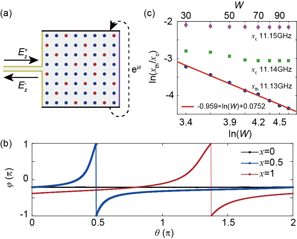
图4 (a)反射相位表征替换型光子合金拓扑性质的示意图。在垂直方向上施加扭曲边界条件
。样本左侧用完美磁导体(黄色)包裹的空气波导连接,右侧边界(紫色)为吸收边界。(b)在11.20GHz下x=0, 0.5, 1时,替代光子合金系统的反射相位随扭曲边界角的变化。(c)拓扑转变阈值浓度 xth和临界浓度 xc对随样本尺寸的变化。
此工作理论提出并实验验证了一种拓扑光子合金系统,该系统由随机混合的非磁化和磁化YIG棒组成。有趣的是,系统表现出拓扑行为的拓扑转变阈值浓度趋近于零时间。此外,其局域反演对称破缺诱导拓扑相变的物理思想可以应用到其他经典波系统,例如声学系统。
